2021. 6. 7. 13:41ใ๐ป/๋ฉํฐ๋ฏธ๋์ด
FRUC (Frame Rate Up Conversion)
๋์์์ ์ด๋ฏธ์ง์ ์ฐ์์ด๋ค. ์ฐ๋ฆฌ๋๋ผ ๋ฐฉ์ก๊ตญ์ 1์ด์ 60์ฅ์ ์ด๋ฏธ์ง๋ฅผ ๋ณด์ฌ์ค ์ ์๋, 60Hz์ ๋ฐ์ดํฐ๋ฅผ ์ก์ถํ๋ค. ์ ์ด์ 60Hz์ธ ์์๋ค์ ๊ทธ๋๋ก ๋ด๋ณด๋ด๋ฉด ๋๊ฒ ์ง๋ง, ๋ณดํต ํด์ธ ์ํ๋ 24Hz์ธ ๊ฒฝ์ฐ๊ฐ ๋ง๋ค. ์ด๋ฐ ๊ฒฝ์ฐ, 24Hz : 60Hz = 2 : 5, 2์ฅ์ 5์ฅ์ผ๋ก ๋๋ ค์ ๋ด๋ณด๋ด๊ฒ ๋๋ค. 'A B'๋ฅผ 'A A A B B'๋ก ๋ด๋ณด๋ด๋ ๊ฒ์ด๋ค. ๋ฐฉ์ก๊ตญ์์๋ ์ด๋ป๊ฒ๋ 60Hz๋ฅผ ๋ง๋ค์ด ๋ด๋ณด๋ธ๋ค ์น๊ณ , ์ฌ๊ธฐ์ 1์ด์ 120์ฅ์ ๋ณด์ฌ์ฃผ๋ TV๊ฐ ์๋ค๊ณ ํด๋ณด์. TV๊ฐ 1์ด์ 120์ฅ์ ๋ณด์ฌ์ฃผ๋ ค๋ฉด ์์์ ์์ฐ์ค๋ฌ์์ ์ํด์ 60์ฅ์ ์์ ์ฌ์ด์ฌ์ด์ ์ ์ ํ ์ด๋ฏธ์ง๋ฅผ ๋ผ์๋ฃ์ด์ผ ํ๋ค.

์ด ๋ ์ด๋ค ์ด๋ฏธ์ง๋ฅผ ๋ผ์ ๋ฃ์์ง๋ฅผ ๊ณ์ฐํด๋ณด์๋๊ฒ, FRUC์ด๋ค. ๋จผ์ ์ด๋ฏธ์ง ์์ ํฝ์ ๋ค์ด ๋ค์ ํ๋ ์์์ ์ด๋ ํฝ์ ์ ๋งค์นญ๋๋์ง ์์๋ด๋ ๊ฒ์ด ์ค์ํ๋ค. ๋ฌ๋ฆฌ๊ธฐ ๋ฐ๋ ์ ์๊ฐ ์ถ๋ฐ์ง์ ์์ ์๋ค๊ฐ, ๋ค์ ํ๋ ์์์ 2m ์ง์ ์ ์๋ค๋ฉด ๊ทธ ์ฌ์ด์ธ 1m ์ง์ ์ ์ ์๊ฐ ์์นํ ์ด๋ฏธ์ง๋ฅผ ๋ณด๊ฐํ๋ ๊ฒ์ด ํฉ๋ฆฌ์ ์ด๊ธฐ ๋๋ฌธ์ด๋ค. ๋ชจ์ ๋ฒกํฐ ์ถ์ถ์ ๊ทธ ์ฒซ๊ฑธ์์ด๋ค.
Motion Extraction

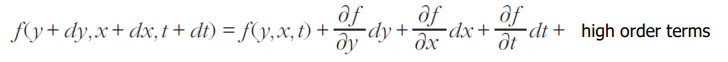
'ํ์ฌ ํฝ์ f(y, x, t)๊ฐ dt ํ์ ํ๋ ์์์, ํฝ์ ์ y, x ์ขํ๋ฅผ dy, dx๋งํผ ์์ง์ธ ๊ณณ์ ๊ฐ์๋๋ผ!' ๋ฅผ ๋ํ๋ธ ์์ด๋ค. ์ฌ์ค ์์ง์ฌ๋ ํฝ์ ์ ๊ฐ์ด ์์ ํ ๊ฐ์ง ์์ ์๋ ์์ง๋ง, ๊ธฐ๋ณธ์ ์ผ๋ก ํฝ์ ๊ฐ ์ฐจ์ด๊ฐ ํฌ์ง ์๊ธฐ ๋๋ฌธ์ ๋ฐ๊ธฐ ๋ณํ๋ ์๋ค๊ณ ๊ฐ์ ํ๋ค. ์ฌ๊ธฐ์ ์ผ์ชฝ ์์ ํ ์ผ๋ฌ ๊ธ์๋ฅผ ์ด์ฉํด ์ ๊ฐํ๋ฉด ์๋์ ๊ฐ์ ์์ด ๋๋ค.

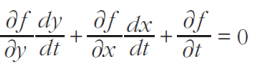
์ฌ๊ธฐ์ dt๊ฐ ๋ณดํต ๋งค์ฐ ์งง๊ธฐ ๋๋ฌธ์ high order term์ ๋ฌด์ํด๋ ๋๋ค. ๊ทธ๋ผ ์ ์์๊ณผ ์๋ ์์์ ์ฐ๋ฆฝํ๋ฉด ๋ค์๊ณผ ๊ฐ์ ์์์ผ๋ก ์ ๋ฆฌํ ์ ์๋ค.


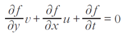
dy/dt, dx/dt๋ฅผ v, u๋ผ๊ณ ๋ฐ๊ฟจ๋ค. ์ฐ๋ฆฌ๊ฐ v์ u๋ฅผ ์ฐพ์๋ธ๋ค๋ฉด ๊ทธ๊ฒ์ด ๋ชจ์ ๋ฒกํฐ๊ฐ ๋ ๊ฒ์ด๋ค. ์ด๋ฏธ์ง f๋ฅผ x, y, t์ ๋ํด ๋ฏธ๋ถํ๋ ๊ฒ์ ์ด๋ ต์ง ์๋ค. ๋ค์ํ ๋ฐฉ๋ฒ์ด ์๊ฒ ์ง๋ง ๊ฐ์ฅ ๊ฐ๋จํ๊ฒ ํ๋ค๋ฉด ์ด๋ ๋ค.
- df/dy = f(y+1, x, t) - f(y, x, t)
- df/dx = f(y, x+1, t) - f(y, x, t)
- df/dt = f(y+1, x, t+1) - f(y, x, t)
๊ฒฐ๊ตญ ๋ฏธ๋ถ ๊ฒฐ๊ณผ๋ ์์๊ฐ์ด ๋์ฌ ๊ฒ์ด๊ณ , ์ฐ๋ฆฌ๋ ๋ฏธ์ง์ 2๊ฐ์ ์์ 1๊ฐ์ธ ์ํ์ ๋์๋ค. ์ด ์ํ์์ v, u๋ฅผ ์ถ์ธกํ๋ ๊ฒ์ ์ด๋ ต๊ฒ ์ง๋ง, ์ฌ๊ธฐ์ '์ฃผ๋ณ์ ๊ฐ๋ค์ด ๊ฐ์ v, u ๊ฐ์ ๊ฐ๋๋ค'๋ ๋ ํ๋์ ๊ฐ์ ์ด ๋ค์ด๊ฐ๋ค. ์์ ๊ณจํ๊ณต์ด ๋ ์๊ฐ๋ค๊ณ ํด๋ ์ด๋ฏธ์ง์์๋ ๊ฝค๋ ๋ง์ ํฝ์ ๋ค์ด ํ๊บผ๋ฒ์ ์ด๋ํ ์ ๋๋ก ํฝ์ ์ ์์ ๋จ์์ด๊ธฐ ๋๋ฌธ์ ๊ฝค๋ ํฉ๋ฆฌ์ ์ธ ๊ฐ์ ์ด๋ค. ๊ทธ๋ ๋ค๋ฉด ์ฃผ๋ณ ํฝ์ ๋ค์ ๋ฌถ์ด ์์ ์ธ์ด ๋ค์, ๋ชจ๋ ํฝ์ ๋ค์ ๋ํ์ฌ ๊ฐ์ฅ ๊ฒฐ๊ณผ๊ฐ ์ข์ ํ๋์ ํด๋ฅผ ์ฐพ๋๋ค๋ฉด? ์ด์ ์ Lucas-Kanade์์๋ ๋์๋ ์ต์์์นํด๋ฅผ ์ฌ์ฉํ๋ค.

์ด์ ๊ฐ ํฝ์ ๋ณ๋ก ๋ชจ์ ๋ฒกํฐ v๋ฅผ ๊ณ์ฐํด์ ๊ฐ ํฝ์ ์ด ๋ค์ ํ๋ ์์์ ์ด๋์ ๋งค์นญ๋๋์ง ํ์ ํ ์ ์๋ค.
Implementing Lucas-Kanade Optical Flow algorithm in Python
In this article an implementation of the Lucas-Kanade optical flow algorithm is going to be described. This problem appeared as an assignment in this computer vision course from UCSD. The inputs wi…
sandipanweb.wordpress.com
'๐ป > ๋ฉํฐ๋ฏธ๋์ด' ์นดํ ๊ณ ๋ฆฌ์ ๋ค๋ฅธ ๊ธ
| [์ปดํจํฐ ๋น์ ] Image Segmentation - Clustering (0) | 2021.06.07 |
|---|---|
| [์ปดํจํฐ ๋น์ ] Image Segmentation (0) | 2021.06.07 |
| [์ปดํจํฐ ๋น์ ] Lucas-Kanade Alignment (0) | 2021.06.07 |
| [์ปดํจํฐ๋น์ ] ์ํธ๋กํผ? (0) | 2021.04.21 |
| [์ปดํจํฐ๋น์ ] HoG (Histogram of Gradient) (0) | 2021.04.21 |